pg麻将胡了试玩

  • pg麻将胡了试玩
  • pg麻将概况
    • pg麻将简介
    • 院长致辞
    • 发展历程
    • 领导分工
    • 影像荟萃
    • 校友风采
  • 师资力量
    • 教师系列
    • 科研系列
    • 党政人员
    • 人才招聘
  • 教育教学
    • 本科教育
      • 图书馆学
      • 档案学
      • 信息管理与信息系统
    • 硕士教育
      • 学硕教育
      • 专硕教育
    • 博士培养
    • 本科教务
    • 研究生教务
    • 招生宣传
  • 科学研究
    • 科研力量
    • 科研成果
    • 学术活动
  • 学生工作
    • 学工服务
    • 奖助学金
    • 学生活动
  • pg麻将胡了试玩
  • 资料下载
    • 表格下载
    • 规章制度
    • 学院资料系统
banner

导航痕迹

  • pg麻将胡了试玩
  • 
  • 教育教学
  • 
  • 研究生教务
  • 
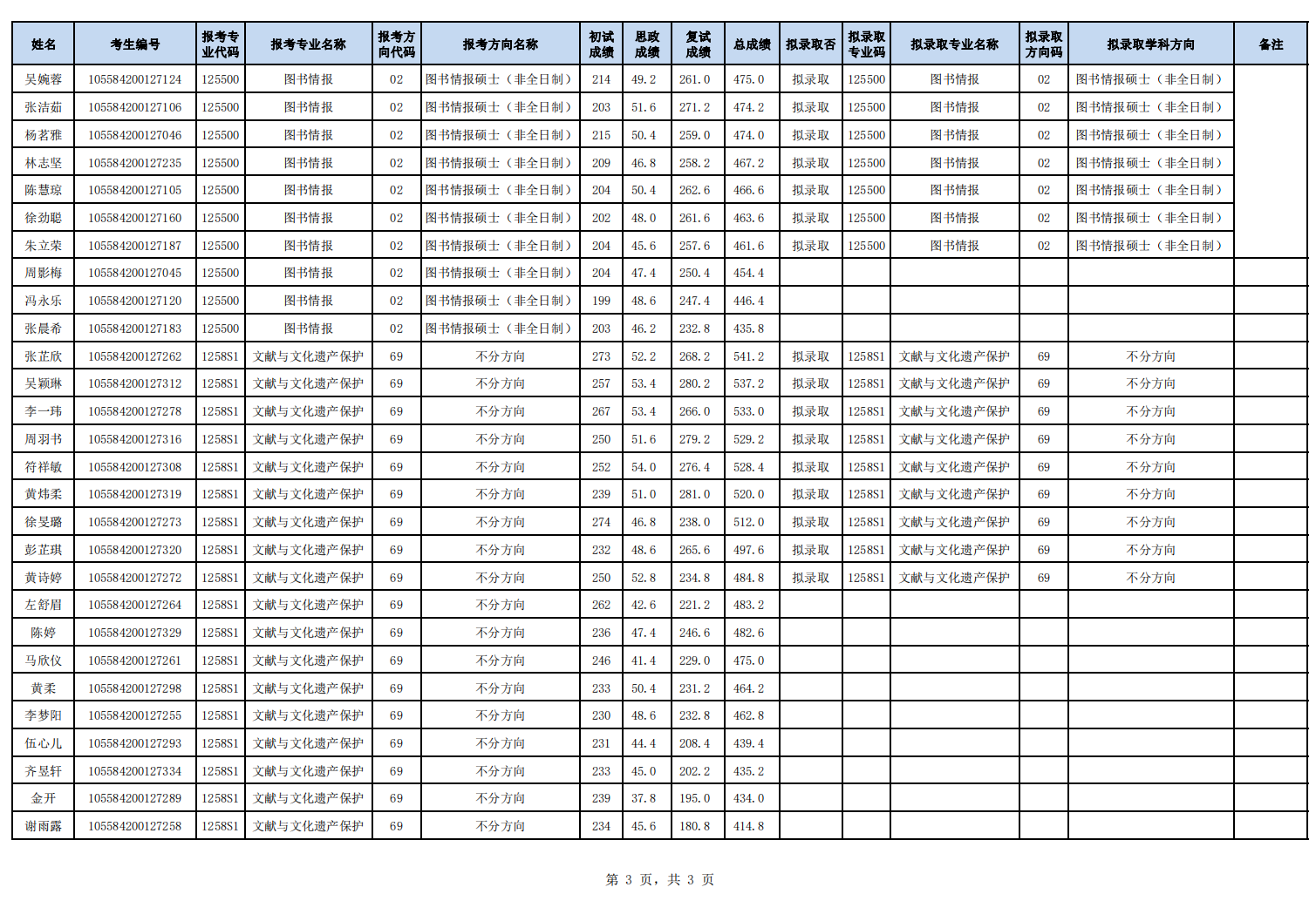
  • pg麻将胡了试玩 2024年硕士研究生招生复试结果 (第二批)
扫描此二维码分享

pg麻将胡了试玩 2024年硕士研究生招生复试结果 (第二批)

发布人:孙立宝 发布日期:2024-04-07

 

pg麻将胡了试玩 2024年硕士研究生招生复试结果(第二批).pdf

 地址:广东省广州市大学城外环东路132号

 电话:020-39333266

 邮件:[email protected]

 邮编:510006

 技术支持:中山大学网络与信息技术中心

 © pg麻将胡了试玩-麻将胡了技巧-pg麻将胡了2

学校资源链接


  • 中山大学
  • 中大教工邮箱
  • 中大学生校园邮箱
  • 中山大学统一门户
  • 大学服务中心

院内资源链接


  • 会议资料系统
  • 宣传视频
  • 人才招聘
  • 表格下载
  • pg麻将胡了试玩
  • pg麻将概况
    • pg麻将简介
    • 院长致辞
    • 发展历程
    • 领导分工
    • 影像荟萃
    • 校友风采
  • 师资力量
    • 教师系列
    • 科研系列
    • 党政人员
    • 人才招聘
  • 教育教学
    • 本科教育
      • 图书馆学
      • 档案学
      • 信息管理与信息系统
    • 硕士教育
      • 学硕教育
      • 专硕教育
    • 博士培养
    • 本科教务
    • 研究生教务
    • 招生宣传
  • 科学研究
    • 科研力量
    • 科研成果
    • 学术活动
  • 学生工作
    • 学工服务
    • 奖助学金
    • 学生活动
  • pg麻将胡了试玩
  • 资料下载
    • 表格下载
    • 规章制度
    • 学院资料系统